STEVEN J. GOULD

PROFESSOR (O)

B.S. University of California, Los Angles, 1966

Ph.D. Massachusetts Institute of Technology, 1970

The goal of Dr. Gould's research is to develop a better understanding of the organic chemistry that can occur in biological systems and, in this manner, discover new principles of organic chemistry that can be applied in the laboratory. The vehicle for this is a program studying the biosynthesis of antibiotics of unusual structure.

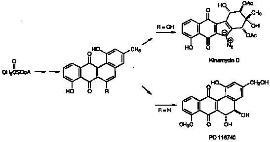
His biosynthetic studies are aimed at determining the metabolic pathways by which microorganisms (predominantly Streptomyces) utilize the typical primary biochemical building blocks such as amino acids, Kreb's Cycle intermediates, and simple sugars to generate structurally and stereochemically complex "secondary" metabolites as typified by antibiotics.

These studies use a variety of radioactive and stable isotopes, such as 14C, 3H, 13C, 2H, 15H, and 18O, for tracing out the biosynthetic pathways. Stable isotopes are the primary tools in this work. Their presence and location in the labeled antibiotics are established using state of the art NMR techniques. There is a need to synthesize most of the labeled compounds that are "fed" in order to introduce the correct "label" at the most strategic position(s). The more complex the compound, the more challenging the synthesis.

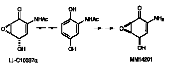
As an important adjunct to these feeding experiments, the isolation and characterization of other metabolites from these antibiotic producing microorganisms is often important, since these may be structurally related to the original target.

Dr. Gould's work has revealed a number of previously unknown biochemical reactions. He and his research team are currently studying the enzymes responsible for a number of these novel metabolism, and are cloning the genes that code for these proteins. These include the first UDP-glucuronosyltransferase from a prokaryote and a pair of hydroquinone epoxidases that are mechanistically similar to vitamin K carboxylase/epoxidase. Three examples of such pathways are shown.


Back to the People Page Department of Chemistry Homepage E-Mail the Webmaster

http://chemistry.oregonstate.edu/PersonalHomePages/gould.htm

Last Updated by Richard Nafshun on Monday, September 09, 2002